SANGAT PENTING !,Surat Resmi Penghentian Penyaluran Dana Tunjangan Profesi Guru dan Tambahan Penghasilan TA 2016
Tersatu - Selamat datang kembali sobat, kali ini saya akan share sebuah informasi dari Kementerian Keuangan Republik Indonesia Direktorat Jenderal Perimbangan Keuangan yaitu tentang Penghentian Penyaluran Dana Tunjangan Profesi Guru dan Tambahan Penghasilan Tahun Anggaran 2016, seperti apa beritanya, berikut ini saya sertakan kutipan dari surat resmi yang dikeluarkan pemerintah.
SURAT KEMENTERIAN KEUANGAN REPUBLIK INDONESIA DIREKTORAT JENDERAL PERIMBANGAN KEUANGAN JI. Dr. Wahidin No. Gedung Radius Prawiro Lantai 9 Jakarta Pusat 10710 Kotak Pos 2435 JKP 10024 Telepon: 021-3509442 Faksimile: 021-3509443, SITUS ww.djpk.kemenkeu.go.id
Nomor S- 6l9 /PK/2016, 16 Agustus 2016 dengan lampiran 1 berkas yang isinya tentang Penyampaian lnformasi kepada Daerah tentang Penghentian Penyaluran Dana Tunjangan Profesi Guru dan Tambahan Penghasilan TA 2016.
Yth. Gubernur/Bupati/Walikota
(terlampir)
Berdasarkan surat dari Sekretaris Jenderal Kementerian Pendidikan dan Kebudayaan Nomor 33130/A.A1.1/PR/2016 tanggal 1 Juli 2016 hal Permohonan penghentian penyaluran Tunjangan Profesi Guru dan Tambahan Penghasilan Guru Tahun Anggaran 2016 bagi sebagian daerah, dapat kami sampaikan hal-hal sebagai berikut:
1. Berdasarkan hasil rekonsiliasi data Guru PNSD antara Kementerian Pendidikan dan Kebudayaan (Kemendikbud), BPKP, dan Kementerian Keuangan bersama pemerintah daerah seluruh Indonesa, diperoleh data kebutuhan riil pembayaran Dana Tunjangan Profesi Guru (Dana TP Guru) dan Dana Tambahan Penghasilan (DTP Guru) Tahun 2016.
2. Penyaluran Alokasi Dana TP Guru dan DTP Guru Tahun 2016 untuk daerah yang mempunyai sisa dana lebih Tahun 2015 sesuai hasil rekonsiliasi tersebut, akan memperhitungkan besarnya sisa Dana TP Guru dan DTP Guru. Untuk itu, terhadap daerah yang kebutuhan riil pembayaran Dana TP guru dan DTP Guru sudah dapat ditutup dari sisa dana Tahun 2015 dan dana yang disalurkan pada Triwulan I dan/atau Triwulan II Tahun 2016, maka akan dilakukan penghentian penyaluran Dana TP guru dan DTP Guru pada Triwulan II dan/atau Triwulan Ill dan/atau Triwulan IV Tahun 2016.
3. Selanjutnya, terhadap penggunaan Dana TP Guru dan DTP Guru, dapat disampaikan bahwa sebagai bagian dari Dana Transfer Khusus, maka Dana TP Guru dan DTP Guru hanya dapat dipergunakan sesuai dengan yang sudah ditentukan, dan tidak dapat dipergunakan untuk mendanai kegiatan lainnya. Demikian disampaikan, atas perhatian Saudara diucapkan terima kasih.
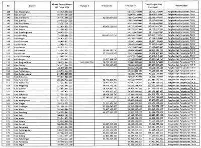
Berikut adalah Surat Resminya
Berikut adalah Surat Resminya
![]() |
| lampiran hal 1 : klik untuk memperbesar |
Supaya lebih lengkap kabupaten dan kota mana saja yang mendapat pemotongan anggaran, silahkan di download saja surat resminya pada tombol dowload dibawah ini. Sumber
Demikianlah informasi ini, semoga bermanfaat. Wassalam.
Mohon untuk dibagikan kembali informasi ini, Terimakasih.

0 Response to "SANGAT PENTING !,Surat Resmi Penghentian Penyaluran Dana Tunjangan Profesi Guru dan Tambahan Penghasilan TA 2016"
Post a Comment